



Presenter
Jason K Cooper
Contributors
Chang-Ming Jiang, Lucas Hess, Sebastian E. Reyes-Lillo, Jeffrey Neaton, Ian D. Sharp, Jason K. Cooper
Abstract
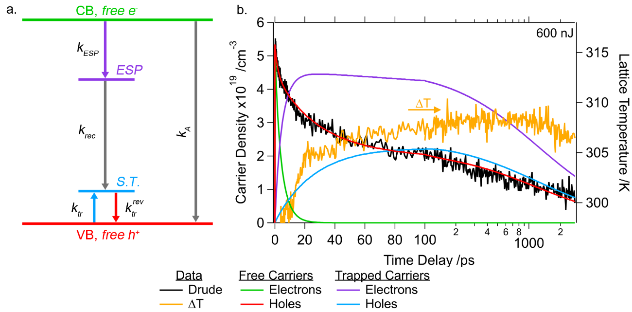
Transient absorption spectroscopy offers a unique perspective on the photogenerated carrier lifetimes of materials through the ultrafast evolution of the transient difference spectrum taken in transmission and/or reflection geometries. However, the related spectroscopic features can be challenging to interpret accurately and as such the related kinetics may be convoluted in overlapping signals of unknown origin. By co-collecting both transmission and reflection signals we extract the differential absorption of the material. We use a combination of ground state optical properties and the temperature dependent difference spectra of a model system, bismuth vanadate, to obtain an accurate model of the time dependence of the transient spectrum. From this, we have obtained the temporal evolution of the free carrier density from which a kinetic model was developed enabling a unique perspective on the governing recombination mechanisms. Importantly, the lattice temperature has been shown to play a critical role in the optical response at time delays past 10 ps. Additionally, spectral features related to coherent optical and acoustic phonons have also been identified. This comprehensive approach to analyzing and modeling the TA spectra offers a generalizable basis for understanding the complex pump-probe data, reveals thermal heating artifacts that are frequently erroneously assigned to long-lived photocarriers, and offers a path to eliminating ambiguity in analysis of photocarrier dynamics in solid state systems.